
Потрапити до окупованого Лисичанська Луганської області тепер не просто важко - це майже неможливо. Очевидці порівнюють процедуру із проходженням "семи кіл пекла". Бюрократія, непередбачуваність та повна відсутність єдиної системи перетворюють спробу в'їзду на справжнє випробування.
Жителі та гості міста діляться в місцевих пабліках особистим досвідом, з якого стає ясно: перепустки, які раніше видавали ЖЕКи, більше не діють, передає Час Пік.
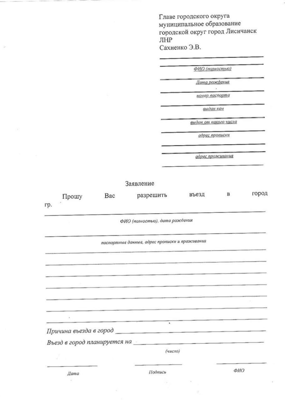
Отримати дозвіл можна лише через разове запрошення, оформлене особисто в адміністрації міста.
"Була у Сіверськодонецьку та Лисичанську з 17.07. Перша - це в'їзд до Лисичанська. Була ще та пригода", - пише одна з очевидців.
Згідно з розповіддю, навіть якщо заздалегідь заповнити бланк та надіслати його на електронну пошту адміністрації, відповідь ви можете і не отримати. Мало того, при в'їзді вимагають обов'язкової наявності друку на бланку - інакше просто не пропустять.
"Мені пощастило, що була стара пропуск і добрі солдати", - додає автор.
Спроба оформити постійну перепустку в ЖЕКу закінчилася невдачею - там повідомили, що перепустки скасовані. У БФЦ розповіли, що тепер в'їзд можливий лише на офіційне запрошення, оформлене особисто через адміністрацію міста.
Процедура, за словами очевидців, виглядає так:
- В адміністрації необхідно взяти бланк запрошення (зазвичай його видає охоронець);
- Запрошуюча людина має заповнити шапку з власними даними та внести дані тих, хто в'їжджає, включаючи номери авто;
- Заповнений бланк передається до кабінету навпроти охорони;
- За 10 хвилин видається копія, з якої можна спробувати в'їхати.
Важливо: одне запрошення – на один в'їзд. Кожна нова подорож вимагає нового бланка. Вказувати можна кількох осіб в одному документі, але у всіх мають бути при собі документи та реєстрація.
Місцеві зазначають, що правила часто змінюються без повідомлень, а люди дізнаються про нововведення вже на блокпосту. В'їзд чи відмова у доступі часто залежить від "настрою» перевіряючих".

Читайте також: Комунальний колапс у Лисичанську: окуповане місто потопає у смітті та затоплених квартирах
















