
Нещодавно Лисичанська ВЦА затвердила Програму децентралізації системи теплопостачання міста на 2021-2024 роки, яка передбачає відключення від централізованого опалення багатоквартирних будинків.
Програма була затверджена розпорядженням № 922 керівника ВЦА, її можна завантажити з офіційного сайту, передає Час Пік.
Передумовами для прийняття цієї Програми стало те, що КП "Лисичанськтепломережа" знаходиться у глибокій фінансовій кризі, підприємство не може в повній мірі сплатити за споживаний газ і має багатомільйонні борги. Через високі тарифи населення Лисичанська часто не може оплачувати послуги і постійно звертається до ВЦА з заявами про перехід на індивідуальне опалення. У свою чергу, перехід значної кількості абонентів на "автономку" призвів до розбалансування мереж теплопостачання та нераціональної витрати енергоресурсів.
Як наголошується в документі, на сьогодні міський бюджет не має можливості постійно підтримувати тепломережу, тому назріло питання децентралізації системи теплопостачання міста в цілому і відключення від мереж централізованого опалення окремих житлових будинків, які мають багатотисячні борги без перспективи погашення.
Передбачено 4 етапи реалізації Програми, перший з яких повинен бути виконаний вже в цьому році.
1-й етап - 2021 рік
Днями ВЦА Лисичанська затвердила список будинків, які будуть відключені від централізованого опалення в рамках 1-го етапу Програми децентралізації системи теплопостачання.
Варто зазначити, що в додатку до Програми, в списку на відключення 1-го етапу значилося 37 будинків, але в список, який ВЦА опублікувала днями, потрапило лише 28 будинків.
Адреси, за якими вже в цьому опалювальному сезоні не буде подаватися централізоване опалення, вказані в таблиці нижче.
Програма передбачає забезпечення приладами індивідуального опалення соціально незахищених громадян, які проживають в даних будинках.
Орієнтовна вартість реалізації 1-го етапу Програми - 3,65 млн грн, джерело фінансування - місцевий бюджет.

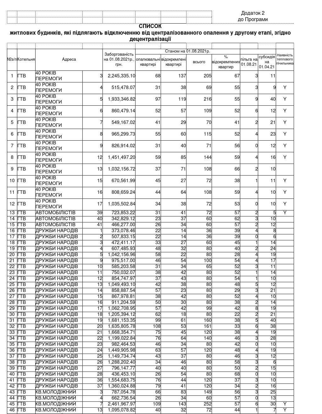
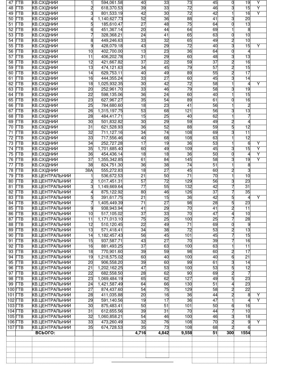
2-й етап - 2022 рік
На другому етапі Програми, термін виконання якого - 2022 рік, заплановано закриття котельні ГТВ і відключення від централізованого опалення 107 будинків у південних мікрорайонах. Повний список адрес в таблиці нижче.
Соціально незахищені верстви населення обіцяють забезпечити приладами індивідуального опалення.
Об'єкти соціальної інфраструктури будуть переведені на автономне опалення за допомогою будівництва модульних котелень. Серед таких об'єктів: ВПУ №94, школи №№ 27, 12, 30, 13, дитсадки "Іскорка", "Світлячок", "Чайка", спорткомплекс ДЮСШ, нафтохімічний технікум, будівельний ліцей, гуртожиток медучилища.
Джерело фінансування 2-го етапу Програми - обласний бюджет, орієнтовна сума витрат - 90,85 млн грн.


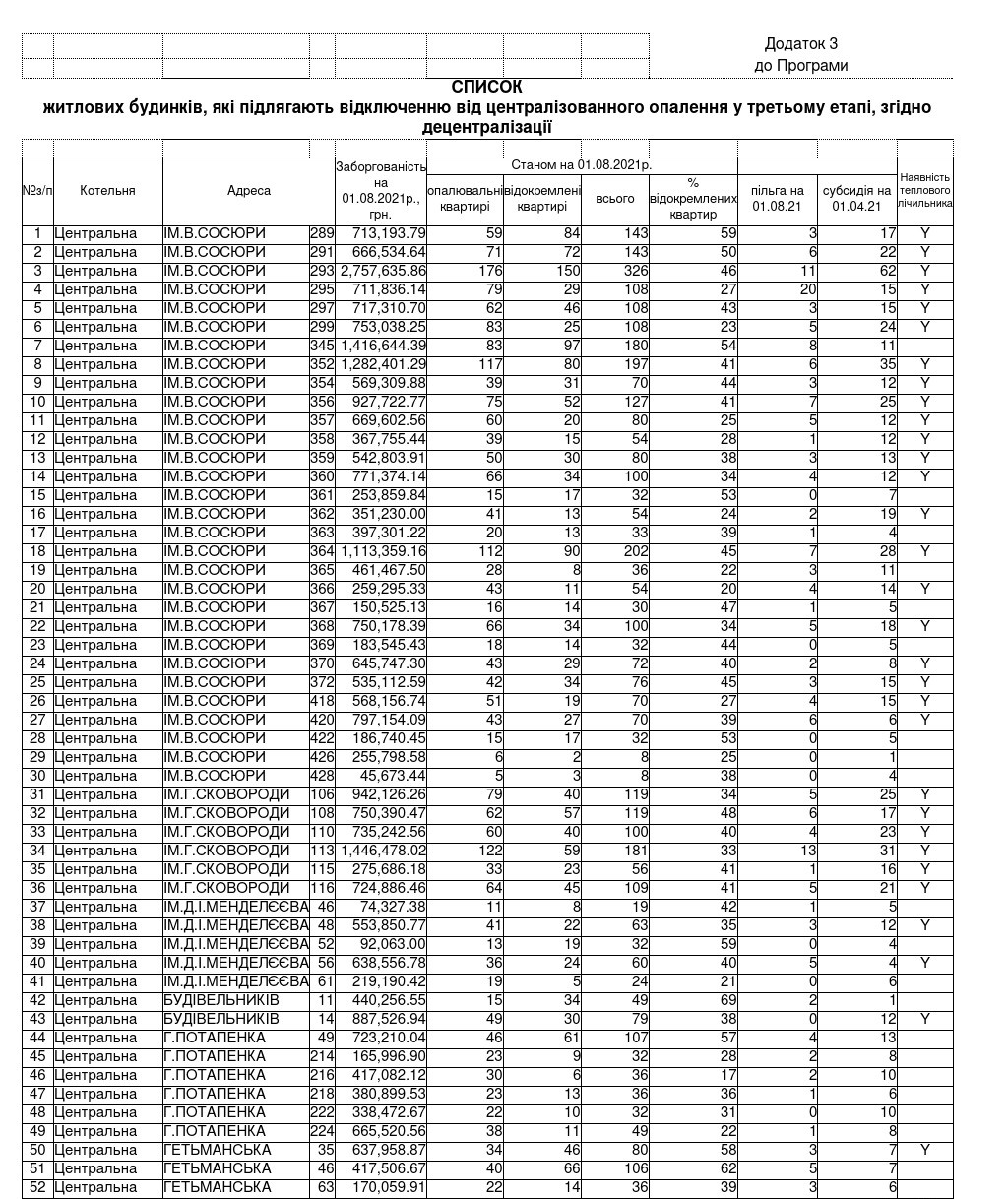
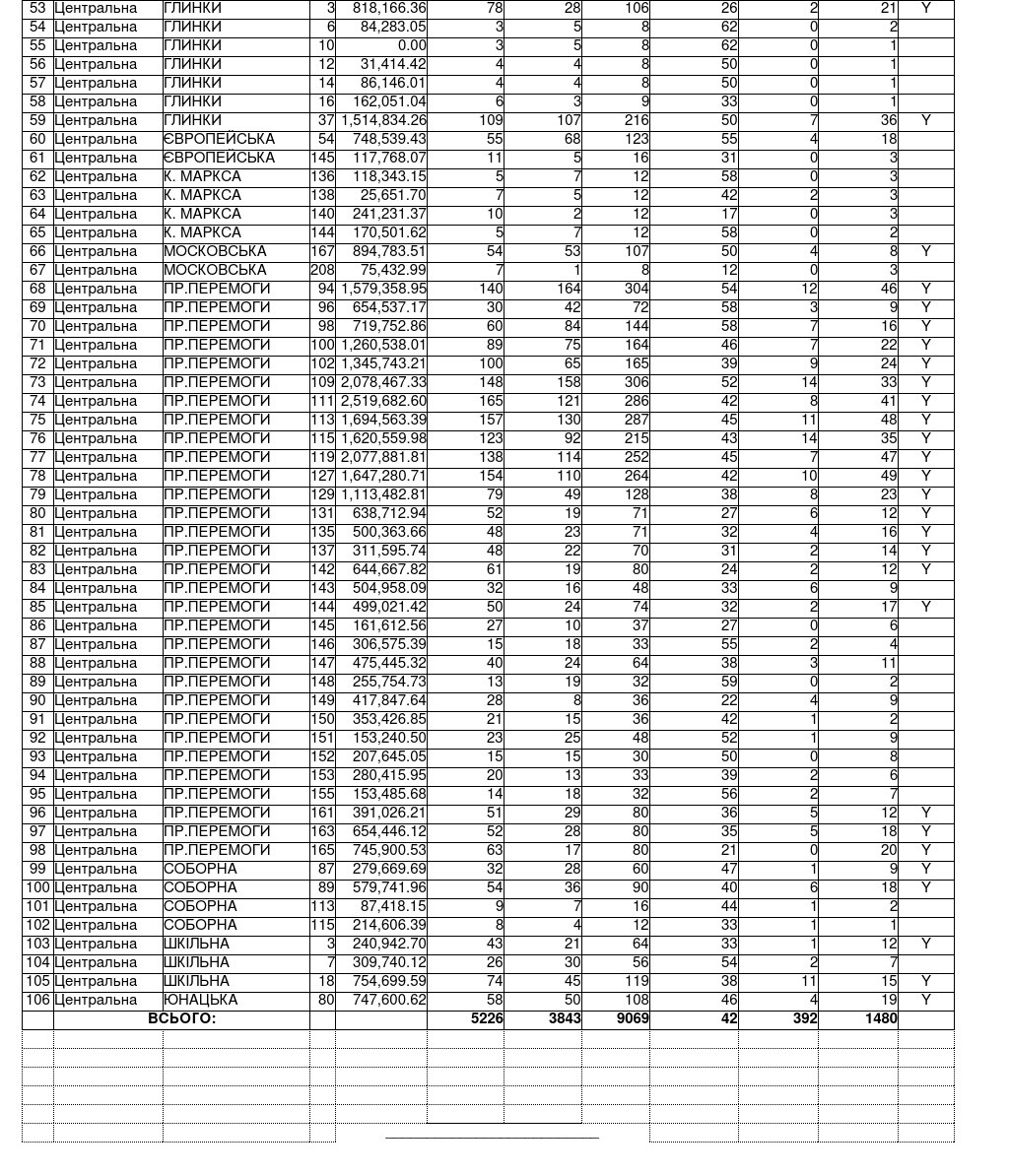
3-й етап - 2023 рік
Третій етап Програми передбачає закриття центральної котельні по вул. К. Маркса і відключення від централізованого теплопостачання 106 будинків у центрі міста, список яких наведено нижче.
На цьому етапі також передбачається забезпечити приладами індивідуального опалення соціально незахищених мешканців даних будинків.
Для забезпечення теплом бюджетних установ будуть побудовані окремо розташовані модульні котельні. Серед таких установ - лікарня Титова, поліклініка, ліцей, гірничий технікум, музична школа, дитсадки "Бірюза", "Росинка", "Посмішка", школи №8 і №14, нафтохімічний технікум, станція швидкої допомоги, рагс, прикордонний загін, станція юних техніків, спортзал.
На реалізацію 3-го етапу Програми повинно бути виділено 132,8 млн грн з обласного бюджету.


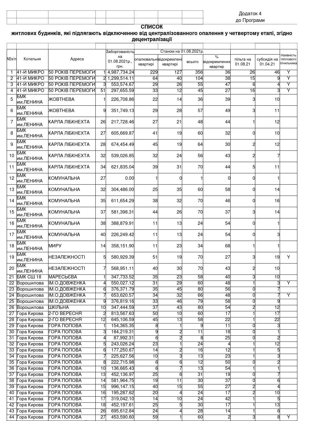
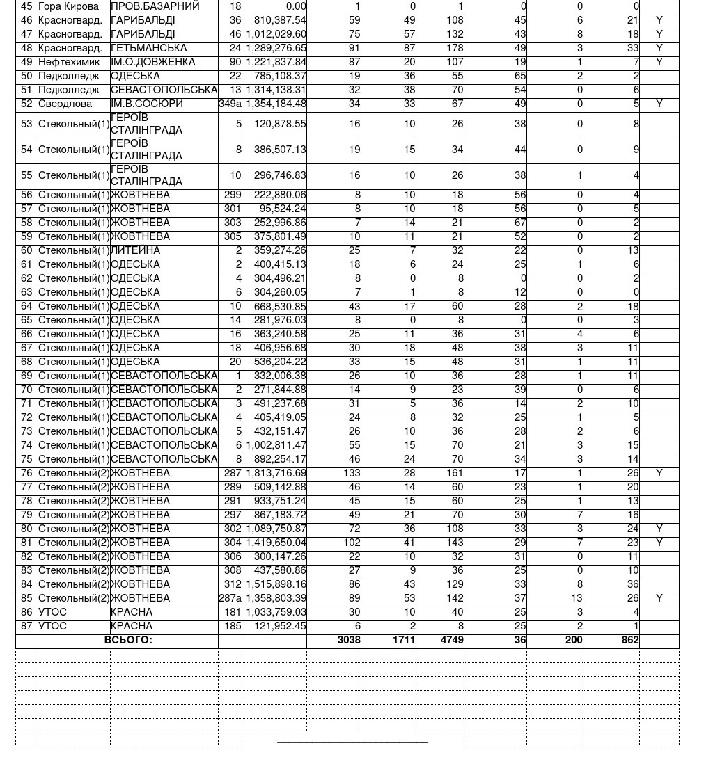
4-й етап - 2024 рік
На останньому етапі Програми передбачено відключення від централізованого опалення 87 будинків в районах Скляного, Гори Попової (Кірова), 41 мікрорайон і деяких будинків у центрі. Передбачається забезпечення приладами індивідуального опалення квартир соціально незахищених верств населення.
У 2024 році планується закриття низки котелень: 41 мікро, Червоногвардійська, Ворошилова, БМК Кірова Гора, Крупська, "Нафтохімік", "Скляний-1", "Скляний-2", "Привілля-1". Ще на кілька котелень чекає реконструкція.
На реалізацію 4-го етапу планується витратити 82,05 млн грн з обласного бюджету.


















