
Национальная комиссия, осуществляющая госрегулирование в сферах электроэнергетики и коммунальных услуг в четверг, 24 декабря, приняла решение повысить тарифы на производство тепловой энергии для населения.
Новые расценки на 2021 год уже появились на сайте НКРЭКУ, передает Час Пик.
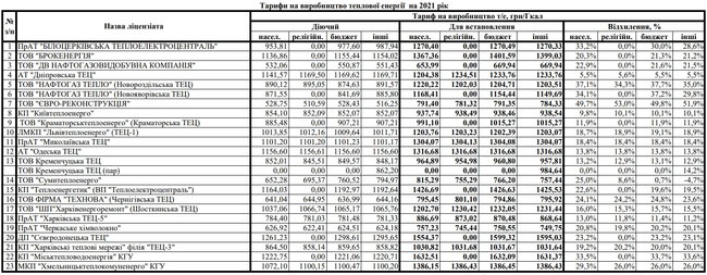
Так, тарифы были повышены для всех 23 компаний. Больше всего повышение тарифов коснулось:
- ООО "Евро-реконструкция" - 49,7%,
- Новораздольской и Новояворовской ТЭЦ (обе ООО "Нафтогаз Тепло") - 37,1% и 34,1%,
- Белоцерковской ТЭЦ - 33,2%,
- ООО "Сумытеплоэнерго" - 25%,
- Черниговской ТЭЦ (ООО "Технова") - 24,1%,
- КП "Миськтепловодоэнергия" - 33,5%,
- КП "Хмельницктеплокоммунэнерго" - 29,3%.
С наименьшим повышением повезло Днепровской ТЭЦ (5,5%).
Как сообщалось ранее, также с 2021 года будут действовать новые тарифы на распределение природного газа.
Читайте также: С нового года у украинцев вырастут пенсии: кому и какой ждать надбавки

















