
Жители Лисичанска возмущены положением дел, сложившемся в городе. Многие не понимают, почему в городе, в котором все "умирает", зарплаты местных чиновников достигают размера 45-100 тысяч гривен.
В Лисичанске зарплаты власть имущих поражают воображение. По мнению многих горожан, получать такие зарплаты в "умирающем" городе - это "пик безумия и жадности", сообщает Час Пик.
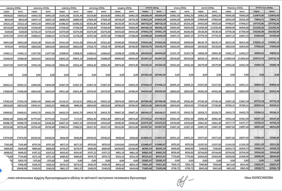
Депутат Лисичанского городского совета Сергей Копылов сообщил на своей странице в Facebook, что получил ответ на свой запрос касательно уровня заработной платы руководителей города и профильных управлений.
С результатами анализа начисления заработной платы руководителям города он решил поделиться с жителями Лисичанска.
"26 марта 2020 я сделал запрос в Лисичанский городской совет об уровне заработной платы руководителей города и профильных управлений! При анализе начисления заработной платы проясняется картина, с сентября 2019 мэр некоторых заместителей и руководителей любит больше, чем другие. Хотелось бы понять почему? Возможно есть какой-то личный интерес или за усердие и "результативность" выполненной работы!!
Ну а если честно, то это пир во время чумы !! В городе в котором все "умирает" зарплаты по 45-100 тыс. гривен!! Это пик безумия и жадности!!", - пишет Копылов.

Свой комментарий под постом оставила и бывший депутат Лисичанского горсовета, группа "За мир и развитие Лисичанска" Елена Ратушная:

Напомним, в Луганской области количество заболевших COVID-19 увеличилось до 9.
Читайте новости региона:
Коронавирус на Луганщине: COVID-19 подтвержден у жителей Лисичанска, Рубежного и Кременского района
На Луганщине ограничили посещение кладбищ: когда можно посетить могилы родных
В Луганской области завершено строительство подстанции "Кременская" - "Укрэнерго"

.jpg)

















